c) A load flow in which all generator (including slack bus) powers are specified and frequency dependence of loads is considered.

Cases (b) and (c) require minor modification of a "conventional" load flow program.
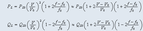
For (b), a simple modification is to vary the P-Q specification at load buses in accordance with the voltage magnitude at that iteration step.
For (c), at every step the calculated slack generator power is compared with the specified slack generator power, and frequency is incremented by some proportion of the difference. The P-Q specification at load buses is varied in accordance with the voltage magnitude and frequency at that iteration step.
With these two hints, can you write a load flow program which includes voltage and frequency dependence of loads? You will need to use a method to solve non-linear algebriac set of equations, as discussed in the previous lecture.
We now give the solved load flow cases (along with the specifications) for a 4 bus system. |