Module 3 : Frequency Control in a Power System
Lecture 13 : Calculation of System Frequency
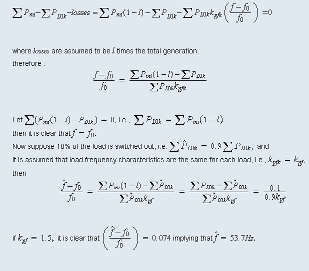
      Calculation of System Frequency (Con td..)

      then equilibrium frequency is given by: