Module 3 : Frequency Control in a Power System
Lecture 13 : Calculation of System Frequency
    Consideration of Real & Reactive Power Losses

If we consider voltage dependence of real and reactive loads and the marginal effect of change in losses, then the calculation of equilibrium frequency is a bit more complicated. The solution for equilibrium frequency has to consider real and reactive power balance at all nodes to obtain estimates of voltages and losses. Therefore a complete load-flow solution is required.

To illustrate this, we shall now consider an example in which we tackle three cases:

a) A "usual" load flow for a 4 bus system.

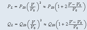
b) A load flow for a 4 bus system considering voltage dependence of loads, load at nominal voltage is specified and load is assumed to vary as follows:

It is assumed that voltage deviation from the nominal is small.