Module 4: Groundwater Management

Lecture 23: Introduction to Groundwater management models

(b)  Unconfined aquifer

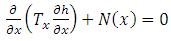
Now consider a case of one dimensional steady state flow in an unconfined aquifer. The governing equation in this case can be written as,

23.19

Considering

23.20

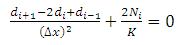
The above equation is a nonlinear equation. The equation can be made linear by considering . Thus the equation (23.20) can be written as,

23.21

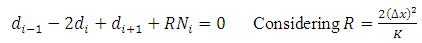
The finite difference form of the equation (23.21) can be written as,

23.22
23.23
23.24

Fig. 23.3 (a) Confined aquifer (b) Top view of the aquifer

Consider the unconfined aquifer as shown in Fig. 23.3. The aquifer has been discretized to 10 blocks. Constant head boundary is considered on both upstream and downstream sides of the aquifer. Lets the constant head at the upstream side is h0 and constant head at the downstream side of the aquifer is h11. Let us consider that the heads at the block centers are h1 to h10 as shown in the Fig. 23.4.

Fig. 23.4 Discretized aquifer