Module 4: Groundwater Management

Lecture 23: Introduction to Groundwater management models

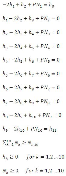
Inclusion of these constraints ensures that the solution obtained would be physically feasible. The optimization problem can be formulated as,

Maximize

23.5

Subject to

23.6
23.7
23.8
23.9
23.10
23.11
23.12
23.13
23.14
23.15
23.16
23.17
23.18

The objective function will try to maximize the head value of the system while satisfying all the constraints.

The constraint (23.16) ensures that the minimum withdrawn is Nmin and the constraints (23.17) and (23.18) are the non negativity constraints. Here the decision variables are N1 to N10 and h1 to h10 are the state variables. If we look at the optimization problem, the objective function and the constraints are linear in nature. As such the problem is a linear problem (LP) and can be solved using any LP solving algorithm like Simplex method. We will not discuss about any optimization algorithms here. However, students are requested to go through the NPTEL course developed by Prof. Nagesh Kumar on “Optimization Method” for details about the optimization algorithms.

The solution of the optimization problem will give the spatial distribution of pumping pattern where total pumping from all the pumping wells is equal to Nmin.