Module 4: Groundwater Management

Lecture 23: Introduction to Groundwater management models

Solution of simple groundwater management model

(a)  Confined aquifer

Now we will solve a very simple groundwater management problem. Consider a case of one dimensional steady state flow in a confined aquifer. The governing equation in this case can be written as,

23.1

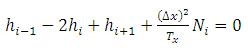
The finite difference form of the equation can be written as,

23.2
23.3
23.4

Consider the confined aquifer as shown in Fig. 23.1. The aquifer has been discretized to 10 blocks. Constant head boundary is considered on both upstream and downstream sides of the aquifer. Let the constant head at the upstream side be h0 and constant head at the downstream side of the aquifer be h11. Let us consider that the heads at the block centers are h1 to h10 as shown in the Fig. 23.2. There are two pumping wells in the aquifer as shown in the Fig. Let us also consider that the main objective of the management model is to withdrawal an amount of water equal to Nmin. The finite difference form of the governing equation at each block center has to be incorporated as constraint with the optimization problem along with the other constraints.

  • Fig. 23.2 Discretized aquifer