
-
Fig. 15.5 Control volume
For the control volume shown in Fig. 15.5 above,
The inflow to the system is Qr
The outflow from the system is
The net inflow to the system is (15.12)
Applying principle of mass conservation on the control volume
Inflow - outflow = Time rate of change in volumetric storage
Time rate of change in volumetric storage (15.13)
(15.14)
where So is the specific storage
Replacing V by 2πrdrh, we have
(15.15)
(15.16)
Where Sy is the specific yield which is equal to So / h .
Now putting equation (15.16) in equation (15.14), we have
(15.17)
As per Darcy's law
(15.18)
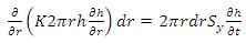
Putting in equation (14.17)
(15.19)
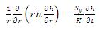
Simplifying, (15.20)
(15.21)
(15.22)
(15.23)
This is the flow equation for radial flow into a well for unconfined homogeneous isotropic aquifer.
In case of steady state condition, the governing equation becomes,
(15.24)
Or, (15.25)