![]() |
|
Consider the control volume shown in figure 15.3.
The inflow to the control volume is Qr
The outflow from the control volume is
The net inflow to the control volume is (15.1)
Applying principle of mass conservation on the control volume
Inflow - outflow = Time rate of change in volumetric storage
Time rate of change in volumetric storage (15.2)
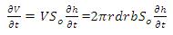
(15.3)
where So is the specific storage
Replacing V by 2πrdrb, we have
(15.4)
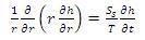
(15.5)
Where Ss is the aquifer storativity which is equal to So / b
Putting (15.5) in (15.3), we have
(15.6)
As per Darcy's law
(15.7)
Putting in equation (15.6)
(15.8)
Simplifying,
(15.9)
(15.10)
This is the flow equation for radial flow into a well for confined homogeneous and isotropic aquifer.
In case of steady state condition, the governing equation becomes,
(15.11)
