![]() |
Fig. 12.2 Elementary control volume |
Consider the control volume as shown in the Fig. 12.1.
The dimension of the rectangular parallelepiped box is dx, dy and dz. Let qx, qy and qz
are the volumetric flow per unit area entering in to the control volume through (y - z), (x - z) and (x - y) faces respectively.
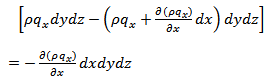
The mass flux inflow along x direction is ρqxdydz.
Outflow in the x -
direction will be ![]()
The excess of inflow over outflow of mass during time interval can be expressed as,
|
(12.1) (12.2) |
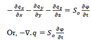
Similarly in y and z direction, we have
|
(12.3) |
Total excess of mass inflow over outflow can be expressed as
|
(12.4) |
Now, as per the principle of mass conservation, the excess of mass must be equal to the change in mass during dt.
Change in storage can be written as
.
Now,
|
(12.5) |
Where S0 is the specific storage,
VT is the total volume of the porous matrix
|
(12.6) |
Now rate of change of storage can be written as
|
(12.7) |
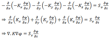
Putting this in the flow equation, one can have
|
(12.8) |
Considering water is incompressible (ρ = constant)
|
(12.9) (12.10) |
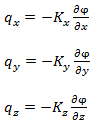
Now, as per Darcy’s law qx, qy and qz can be written as
|
(12.11)
|
Putting in flow equation
|
(12.14)
|
In case of homogeneous aquifer,
|
(12.17) |




