If Sy is the specific yield of the aquifer, then
|
(11.31) (11.32) |
Now change in storage in time dt can be written as,
|
(11.33) |
For maintaining continuity
Net flow in time dt = change in storage in time dt
|
(11.34)
|
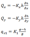
Now
|
(11.36)
|
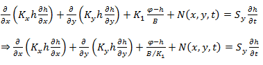
Putting in
|
(11.39)
|
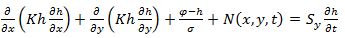
Putting, σ = B/K1
|
(11.41) |
In case of non-homogeneous isotropic aquifer
|
(11.42) |



