A confined or unconfined aquifer is called a leaky aquifer when water is gained or lost through the bounded semipervious layers. In this lecture, we will derive the governing equation for the two dimensional flow in confined and unconfined leaky aquifer.
Two-dimensional flow in leaky confined aquifer
Consider the leaky confined aquifer as shown in Fig. 11.1. The piezometric head in the main aquifer is (φ). The main aquifer is confined by the semipervious aquifer at top and bottom. The piezometric head in the top phreatic aquifer is (φ1) and that for the bottom confined aquifer is (φ2). The thickness of the main aquifer is B and the thickness of the top and bottom semi-pervious strata is B1 and B2 respectively. The hydraulic conductivity of the main aquifer is K and that for the top and bottom semipervious strata is K1 and K2 respectively.
![]() |
Fig. 11.1 Elementary control volume for leaky confined aquifer |
For the 2D control volume shown in Fig. 11.1.
Let Qx is the inflow per unit width in x direction
Qy is the inflow per unit width in y direction
Inflow in x direction is
Qxdy |
(11.1) |
Outflow in x direction is
|
(11.2) |
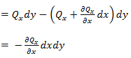
Net flow in x direction
|
(11.3)
|
Similarly, net flow in y direction is
|
(11.5) |
The flow enter into the control volume from the bottom semi-pervious layer is
|
(11.6) |
The flow coming out from the control volume through the top semi-pervious layer is
|
(11.7) |
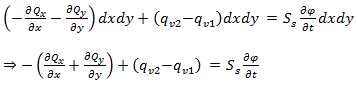
Total net flow of the control volume is
|
(11.8) |
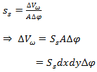
Now, as we know that aquifer storativity
|
(11.9) (11.10) (11.11) |
Change in storage in time dt is
|
(11.12) |
Total net flow = change in storage in time dt
|
(11.13)
|
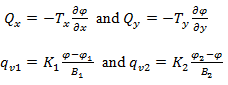
Now putting,
|
(11.15)
(11.16) |




