We have,
|
(11.17)
(11.18) |
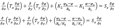
Putting B2/K2 = σ2 and B1/K1 = σ1, we have
|
(11.19) |
This is the flow equation for anisotropic non-homogeneous leaky confined aquifer for unsteady condition.
In case of homogeneous aquifer, the equation becomes
|
(11.20) |
For homogeneous and isotropic condition,
|
(11.21) |
Putting Tσ1 = λ1 and Tσ2 = λ2
|
(11.22) |
The λ1 and λ2 are known as leakage factor of the semi-pervious layer.
If a source N(x,y,t) is present, the equation becomes
|
(11.23) |
Two-dimensional flow in leaky unconfined aquifer
Consider the leaky unconfined aquifer as shown in Fig. 11.2. The bottom of the unconfined aquifer has a semi pervious layer. The piezometric head in the bottom confined aquifer is (φ). The thickness of the bottom semi-pervious strata is B. The hydraulic conductivity of the main aquifer is K and that bottom semi-pervious strata is K1.
![]() |
Fig. 11.2 Elementary control volume for leaky unconfined aquifer |
For the 2D control volume shown in Fig. 11.2.
Let inflow per unit width of the aquifer in x direction is Qx and that in y direction is Qy.
Total inflow in x direction is
Qxdy |
(11.24) |
Total outflow in x direction is
|
(11.25) |
Net flow in x direction is,
|
(11.26) |
Similarly the net flow in y direction is
|
(11.27) |
The flow enter into the control volume from the bottom semi-pervious layer is
qvdxdy |
(11.28) |
Let N(x,y,t) is the source or sink of the control volume per unit area.
Source or sink flow is therefore
N(x,y,t)dxdy |
(11.29) |
Total net flow of the control volume is
|
(11.30) |

