Alitame is related to compound aspartame, with improved properties. It is 2000 times as sweet as sucrose and more stable than aspartame.
Sucronic acid is designed on the basis of sweetness receptor sites, which is reported to be 200,000 times sweeter than sucrose.
![]() |
![]() |
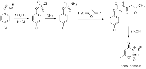
Acesulfame-K is 200 times sweeter than sucrose. It is highly used for packed goods and baking due to stable nature under heat.

Dulcin and sodium cyclamate are widely used synthetic sweeteners and later taken off the market due to its toxicity.


