11.14 Synthetic Sweeteners
Some molecules bind to a receptor on a taste bud cell of the tongue and give sweet taste. When this molecule binds, a nerve impulse passes from the taste bud to the brain, where the molecule is interpreted as being sweet. The degree of sweetness differs for different sugars. The relative sweetness of glucose is 1.00 and that of sucrose is 1.45. Fructose is the sweetest of all sugars, which is 1.65. Toxicity , stability and cost must be considered, while developing a synthetic sweetener.
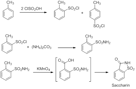
Saccharin is the first synthetic sweetener, was discovered by Ira Remsen and his student Constantine Fahlberg at Johns Hopkins University in 1878. It is 300 times sweeter than glucose.

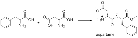
Aspartame was discovered in 1965 by a group of scientists working for G.D. Searle, that later become a Monsanto company, to develop a new anti-ulcer drug based on a tetrapeptide. It is 200 times sweeter than sucrose. It undergoes slow hydrolysis in solution and it also decomposes with heat. So, we cannot use for soft drinks and cooking purposes.

Sucralose is a trichloro derivative of sucrose that is an artificial sweetener. Sucralose is 600 times sweeter than sucrose. It tastes like sugar and used for cooking and baking.
