Module 3 : Organometallic Reagents

Lecture 28 : Problems

    

Problems

 

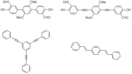
A. Show effective synthetic routes for the synthesis of the following compounds using palladium-catalyzed C-C cross-coupling reactions.

 

 

B.  What products would you expect in the following reactions?

 

 

Textbook
J. Clayden, N. Greeves, S. Warren, P. Wothers, Organic Chemistry, Oxford University Press, New York, 2001.