Module 3 : Organometallic Reagents

Lecture 8 : Organocopper Reagents

 

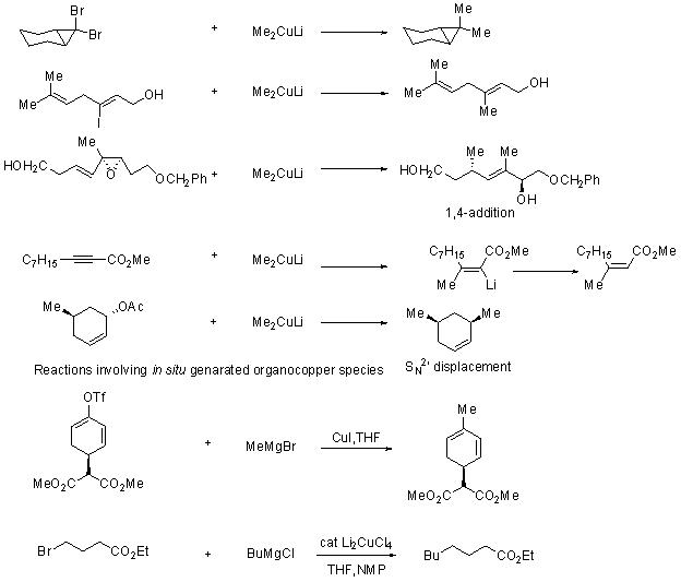
3.5.5 Reactions with Epoxides

Epoxide reacts with organocopper reagents at the least substituted carbon atom to provide the corresponding alcohol (Scheme 9).

Scheme 9

Higher Order Cuprates

The reaction of organolithium reagent with cuprous cyanide yields higher order cuprate (Scheme 10). Higher order cuprate is more reactive compared to Gilman reagent towards alkyl halides. For example, ( S )-2-bromooctane reacts with EtMeCu(CN)Li at 0°C to give (R )-3-methylnonane in 72% yield (Scheme 11).

Scheme 10

Scheme 11

Examples: