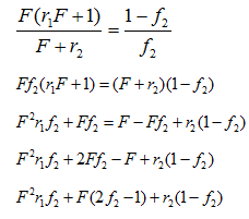
Equation (9) become,
|
(10) |
Solution of equation (10) will give the value of
, provided
,
, &
are known.
# Find the Probability of each possible routes.

![]()
|
(11) |
Similarly
|
(12) |
|
(13) |
|
(14) |
Check that,
&
![]()
Now to apply Markov's rule we can construct the transition matrix as follows

The elements of this matrix are constant as long as
,
&
remains constant.
Apply MC method to generate a copolymer chain with total N number of units, fraction of (1) & (2) types units is
&
respectively.
