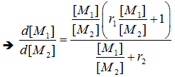
Dividing both numerator and denominator by K21[M*2][M2], we get,
|
(7) |
Define
&
where
and
are the reactivity ratio of (1) & (2) type units.
Equation (7) becomes
|
(8) |
Now define
(the feed mole ratio of 1&2 type unit).
Equation (8) becomes,
|
(9) |
Based on the steady state assumption, we can write

Where
&
are the mole fraction of 1 & 2 type units


