Example: Application of Markov process in Free radical copolymerization (Random Copolymer)
In a Random copolymerization system, let us assume, there are two types of repeat units (1) & (2)
The chain propagation step will have the following possibilities

M1& M2 are two types of repeat units and M1* & M2* are the respective free radicals.
Rate of propagation of each step can be written as

|
(1) |
The rate of consumption of M1 & M2 can be given by
|
(2) |
|
(3) |
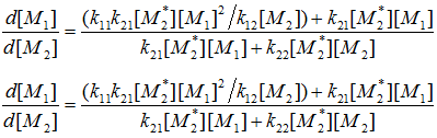
Dividing (2) by (3), we get,
|
(4) |
From (1),
|
(5) |
Using (1) & (5) into (4),
|
(6) |



