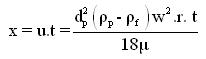
The terminal velocity u is proportional to radius r. The true terminal velocity, us is reached after a short initial interval of time. If the density of particle is greater than density of fluid, the particle moves outward from the axis of rotation (i.e. acceleration is +ve), and it the density of particle is less than the density of fluid, the particle moves in ward toward the axis (i.e. retardation is +ve). For the centrifuges carrying relatively thin layers of liquid, the velocity of particle can be considered as approximately constant across such a layer. The radial distance travelled by a particle in time t seconds is x cm.
...............................................(5.16)
t = V/Q where, V – volume of liquid in the bowl at any given moment
Q – volumetric flow rate
Therefore, here (r2 - r1)= S is liquid layer thickness
Therefore,
.............................................(5.17)
From this equation idealist performance of a centrifuge can be estimated
Q = k X Y, here k is constant

........................................................(5.18)
................................(5.19)
Above equation valid for the system follows Stoke's law and it predicts the maximum throughput at which a particle of given size is eliminated from the liquid stream.