
If we use L = 1.3 x D we have:

i.e. D = 1.23 m
Length of cylindrical vessel = 1.23 x 1.3 = 1.6 m
The interface for the required volumes of the light and heavy phase in the separator should be:
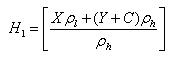
X = 0.46; Y = 0.54
Let the distance from the bottom of the separator to the reference line = C = 0.6 m
Light phase overflow height from the reference line
H2 = X+Y+C = 0.41+0.59+0.6
The distance between overflow leg and underflow leg

![]()
Heavy phase underflow height
For practical reasons and to compensate for fabrication problem. Height H1 should be designed 25 mm short and make the adjustable spool with 50 mm offset. Final heavy phase underflow height
H1 = 1.5 - 0.025 + 0.05 = 1.525 m
Let the interface in the separator is located 0.15 m below the designed evaluation during the initial run. To raise the interface level, raise the adjustable spoul piece by


Thus for adjusted ΔH value of 0.032 m, the interface position in the separator moves by 0.15m in the same direction.