Module 2 : Mechanical Design of Heat Exchanger

Lecture 4 : Hand on Calculations

 

 

vii. Design of gaskets (refer section 2.3.8)

(2.10)

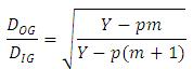
Gasket factor m =3.75, minimum design seating stress Y= 5.35 kgf/mm2 (for flat iron jacketed, asbestos fill) ( Table 2.4 )

 


(2.11)

 

viii. Bolts design (refer section 2.3.9)

The bolt load due to gasket reaction under atmospheric conditions is given:

=278515 N (2.12)

The bolt load under tight pressure:

=15120 +194848=209968 N (2.13)

Therefore, Wm1 is the controlling load because Wm1> Wm2

The minimum bolt cross sectional area (bolt material carbon steel and fa = fb:

(2.18)

M16 nominal thread diameter with bolt circle diameter (Cb) of 860 mm, 32 bolts and 18 mm root diameter (dbr) are selected from IS:4866-1968.

Corresponding actual bolt circle diameter,

Ab > Am; Therefore the selected bolts are suitable.

The minimum gasket width,

(2.19)

(compared to 35 mm selected gasket width)