Module 2 : Mechanical Design of Heat Exchanger

Lecture 2 : Design Components - I

 

 

·       

2.3.4. Pass partition plate

IS: 4503, specifies that the minimum thickness of channel pass partition plates including corrosion allowance should be 10 mm for both carbon steel and alloy upto channel size of 600 mm. For higher channel size, the same should be 13 mm carbon steel and 10 mm for alloy.

2.3.5. Tube sheet thickness

Tube sheet is a circular flat plate with regular pattern drilled holes according to the tube sheet layouts. The open end of the tubes is connected to the tube sheet. The tube sheet is fixed with the shell and channel to form the main barrier for shell and tube side fluids. The tube sheet is attached either by welding (called integral construction) or bolting (called gasketed construction) or a combination of both types. The typical tube sheet construction is in Figure 2.2 .

The minimum tube-sheet thickness (TEMA standard) to ‘ resist bending' can be calculated by [2]:

(2.5)

Where, F =1 for fixed tube and floating type tube sheet; F =1.25 for U-tube tube sheet

Gp = diameter over which pressure is acting (for fixed tube sheet heat exchanger Gp = Ds , shell ID; Gp is port inside diameter for kettle type, for floating tube sheet Gp shall be used for stationery tube sheet).

f = allowable stress for the tube sheet material

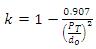
Mean ligament efficiency ( k ) :

for triangular pitch; (2.6)
for square or rotated pitch (2.7)

The effective pressure, when the tube sheet is extended as a flange for bolting heads.

Ps = shell side pressure, Pt = tube side pressure, Pb = equivalent bolting pressure

For fixed tube sheet and U-tube tube sheet, P is effective shell side or effective tube side pressure as defined by TEMA standards [3] .

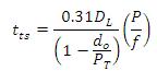
The effective tube sheet to ‘ resist shear' is given by:

(2.8)

where is the equivalent diameter of the perforated tube sheet

C is the perimeter measured by connecting the center to center of the outermost tubes of tube layout.

A = Total area enclosed by C

The shear formula does not control the tube sheet thickness when:

(2.9)