Module 5: SIGNAL TRANSDUCTION

Lecture 4: Second Messengers - cGMP

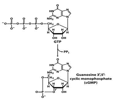
Cyclic Guanosine monophosphate: Cyclic Guanosine monophosphate or cGMP, is a cyclic nucleotide derived from guanosine triphosphate(GTP). cGMP is a multi-functional second messenger molecule, similar in action to cAMP but generally producing opposite effects on cell function. It has molecular formula of C10 H12 N5 O7 P and has molecular weight of 345.2 g/mol. It has composition of Guanine nucleotide base, ribose sugar and cyclic phosphate between 3' and 5' positions of ribose sugar as shown in figure 1. Cyclic GMP is synthesized from the nucleotide GTP using the enzyme guanylyl cyclise as shown in figure 2 .

Structure:

 

 

Figure 1: Guanosine 3',5'-cyclic phosphate

Synthesis of cGMP: cGMP is an important signal molecule that carries different messeges in different tissues. cGMP is generated via two pathways distinguished by the nature of Guanylyl Cyclase (GC) that mediate its conversion from guanosine triphosphate (GTP). The guanyl cyclase is generally found in cell in two forms - soluble form and membrane- bound form. They are generated via two pathways as described below:

1. The soluble pathway, where cGMP is generated via nitric oxide (NO)-activated guanylyl cyclase which is cytosolic protein with tightly associated heme group. NO is sufficiently non-polar which can easily cross the plasma membrane of target cell without any carrier and binds to the heme group of guanylyl cyclase and activates the cGMP production.

2. In the membrane-bound pathway, GCs is transmembrane protein with extracellular ligand binding domain, share some homology with those activated by NO. The ligands for a subset of membrane GCs are members of the Natriuretic Peptide (NP) hormone family including atrial NP hormone, B-type NP hormone and C-type NP hormone.

Figure 2: Conversion of GTP to cGMP