The orifice meter (Fig. 7.2.4-a) has the simplest design and it occupies minimal space. It consists of a plate with a hole in the middle and this hole may be sharp-edged/beveled/rounded. The sudden change in the flow area causes a vena-contracta (minimum area) and thus leading to significant head loss or swirl. In the flow through nozzles (Fig. 7.2.4-b), the plate is replaced by a nozzle and the flow becomes streamlined. As a result, the vena-contracta is practically eliminated that leads to very small head losses. The most accurate measurement device in the flow meter category is the venturi-meter (Fig. 7.2.4-c). Its gradual contraction and expansion prevents flow separation and swirling which minimizes the head losses. However, it suffers irreversible losses due to the friction at the wall which is only about 10%.
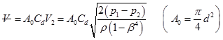
The velocity expression in the Eq. (7.2.3) is obtained by assuming no loss and thus it is the maximum velocity that occurs at the constriction site. In reality, the velocity will be less than this value because of inevitable frictional losses. Also, the fluid stream will continue to contract past the obstruction and the vena-contracta is less than the flow area of the obstruction. By incorporating these two factors, a correction factor is introduced in the obstruction flow meters, which is measured experimentally. The volume flow rate is then expressed by a parameter called as discharge coefficient
.
![]() |
(7.2.4) |
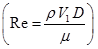
The value of
depends on the geometrical parameter β and flow Reynolds number
. In the range of
, the value
of can be approximated by the following relations;
![]() |
(7.2.4) |
(7.2.5)
For high Reynolds number flows (Re>30000), the value of
can be taken as 0.61 for orifice and 0.96 for nozzles. In the case of venturimeter, the of
ranges from 0.95 to 0.99 irrespective of flow Reynolds number and area ratio because this device in intended for streamlined design.
Relative merits of venturi meter, nozzle and orifice
- High accuracy, good pressure recovery and resistance to abrasion are the primary advantages of the venturi. The space requirement and cost of the venturi meter is comparatively higher than that of orifice and flow nozzle.
The orifice is inexpensive and may often be installed between existing pipe flanges. However, its pressure recovery is poor and it is especially susceptible to inaccuracies resulting from wear and abrasion. It may also be damaged by pressure transients because of its lower physical strength.
The nozzle possesses the advantages of the venturi, except that it has lower pressure recovery and it has the added advantage of shorter physical strength. It is inexpensive compared with the venturimeter but relatively difficult to install properly.

