Measurement of Flow Rate and Velocity
A major requirement in application areas of fluid mechanics is the determination of flow rates and with respect to incompressible flows, they are called as flow metering . Based on the operating principle, pressure drop, capacity, versatility, accuracy, cost, size and level of sophistication the range varies widely For example, a crude way of measuring flow rate of water through a household tap is through the collection of water in a bucket and noting the corresponding time. On the other hand, a sophisticated instrument may involve flow rate measurement through the propagation of sound in a flowing fluid or electromotive forces when the fluid passes through a magnetic fluid. Some of the commonly used devices are as follows;
- Pitot tube and Pitot-Static probe
Obstruction Flow meters
Variable-area flow meter
Thermal Anemometers
Miscellaneous flow devices
Scattering devices
Pitot tube and Pitot-static probe
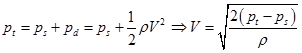
In an incompressible flow, the flow rate is generally proportional to the velocity and it is obtained from the measured pressures of the flowing medium. The total pressure of a flowing stream is expressed as,
![]() |
(7.2.1) |
where, V is the average flow velocity and
is the fluid density. If measurement is made in such a way that the velocity of the flow is not disturbed, then the measured pressure indicates the static pressure
. On the other hand, if the measurement is made such that the flow velocity of the stream is brought to rest isentropically, then the pressure obtained becomes the stagnation/total pressure
. The difference between these two pressures is the dynamic pressure
which is the fundamental equation for velocity measurement. The point measurements of these two pressures are accomplished by the use of tubes (called as probes) joining the desired location in the flow (Fig. 7.2.1). Pitot probes and Pitot-static probes are the standard devices that are used widely for obtaining
.

Fig. 7.2.1: Schematic representation of static and stagnation pressure measurements.
