UNSOLVED PROBLEMS
PROBLEM 1:
An open, cylindrical paint can having a diameter D is filled to a depth h with paint having a specific weight
. The vertical deflection,
, of the centre of the bottom is a function of D, h, d,
and E, where d is the thickness of the bottom and E is the modulus of elasticity of the bottom material. Determine the functional relationship between the vertical deflection,
, and the independent variables using dimensional analysis.
(Answer:
)
PROBLEM 2:
As shown in figure assume that the drag D, acting on a spherical particle that falls very slowly through a viscous fluid, is a function of the particle diameter, D, the particle velocity, V, and the fluid viscosity
. Determine with the aid of dimensional analysis how the drag depends on the particle velocity.
(Answer:
)

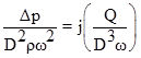
PROBLEM 3:
The pressure rise,
, across a pump can be expressed as
where D is the impeller diameter,
the fluid density, ω the rotational speed, and Q the flow rate. Determine a suitable set of dimensionless parameters. (Answer:
)
PROBLEM 4: In 1:30 model of a spillway, the velocity and discharge are 1.5m/sec. and 2m3/s. Calculate the corresponding velocity and discharge in the prototype.
(Answer; 8.2m/s, 9859 m3/s)