1. What is dimensional analysis?
2. Define each of the following terms
a)Geometric similarity b) Kinematic similarity c) Dynamic similarity
3. What are the various methods of dimensional analysis to obtain a functional relationship between various parameters influencing a physical phenomenon?
4. What do you mean by repeating variables? How are these selected according to the dimensional analysis concept?
5. Explain the Rayleigh method for dimensional analysis.
6. Define the term model testing. List out some advantages and applications of model testing.
7. Define the term dimensional homogeneity.
8. Describe Buckingham's method to formulate a dimensionally homogeneous equation between the various physical quantities effecting a certain phenomenon?
9. State the term dimensionless numbers.
10. State and explain the different model laws designed for dynamic similarity. Where are they used?
SOLVED PROBLEMS
PROBLEM 1:
A thin rectangular plate having a width w and a height h is located so that it is normal to a moving stream of fluid as shown in figure. Assume the drag D, that the fluid exerts on the plate is a function of w and h, the fluid viscosity and density, μ and ρ, respectively, and the velocity V of the fluid approaching the plate. Determine a suitable set of pi terms to study the problem experimentally.

SOLUTION:
From the statement of the problem we can write
![]()
Where this equation expresses the general functional relationship between the drag and the several variables that will affect it.The dimensions of the variables (using MLT system) are:

We see that all three basic dimensions are required to define the six variables as the Buckingham pi theorem tells us that three pi terms are needed i.e., (k-r=6-3).
We will next select three repeating variables such as w, V, ρ . A quick inspection of these three reveals that they are dimensionally independent, since each one contains a basic dimension not included in the others. Note that it would be incorrect to use both w and h as repeating variables since they have the same dimensions.
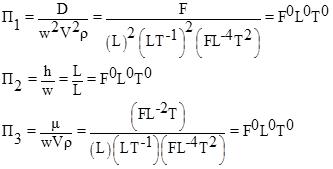
Starting with the dependent variable, D, the first pi term can be formed by combining D with the repeating variables such that,
![]()
And in the form of dimensions:
![]()
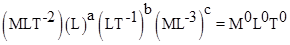
Thus, for
to be dimensionless it follows that:
And, therefore, a = -2, b = -2 and c = -1. The pi term then becomes
![]()
Next the procedure is repeated with the second non repeating variable, h, so that
![]()
It follows that
![]()
and

so that a = -1, b = 0, c = 0, and therefore
![]()
The remaining non repeating variable is μ so that
with
![]()
And, therefore solving for the exponents, we obtain a = -1, b = -1, c = -1, so that
![]()
Now that we have the three pi terms we should check to make sure that they are dimensionless. To make this check we use F, L, and T, which will also verify the correctness of the original dimensions used for the variables. Thus,

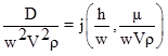
Finally, we can express the results of the dimensional analysis in the form
