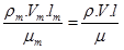
Model scales
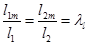
In a given problem, if there are two length variables
and
, the resulting requirement based on the pi terms obtained from these variables is,
(6.2.13) |
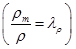
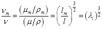
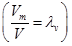
This ratio is defined as the “length scale”. For true models, there will be only one length scale and all lengths are fixed in accordance with this scale. There are other ‘model scales' such as velocity scale
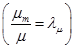
, density scale
, viscosity scale
etc. Each of these scales needs to be defined for a given problem.
Distorted models
In order to achieve the complete dynamic similarity between geometrically similar flows, it is necessary to reproduce the independent dimensionless groups so that dependent parameters can also be duplicated (e.g. same Reynolds number between a model and prototype is ensured for dynamically similar flows).
In many model studies, dynamic similarity may also lead to incomplete similarity between the model and the prototype. If one or more of the similarity requirements are not met, e.g. in Eq. 6.2.9, if
, then it follows that Eq. 6.2.12 will not be satisfied i.e.
. It is a case of distorted model for which one or more of the similar requirements are not satisfied. For example, in the study of free surface flows, both Reynolds number
and Froude number
are involved. Then,
Froude number similarity requires,
(6.2.14) |
If the model and prototype are operated in the same gravitational field, then the velocity scale becomes,
(6.2.15) |
Reynolds number similarity requires,
(6.2.16) |
Then, the velocity scale is,
(6.2.17) |
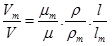
Since, the velocity scale must be equal to the square root of the length scale, it follows that
![]() |
(6.2.18) |
Eq. (6.2.18) requires that both model and prototype to have different kinematics viscosity scale. But practically, it is almost impossible to find a suitable fluid for the model, in small length scale. In such cases, the systems are designed on the basis of Froude number with different Reynolds number for the model and prototype where Eq. (6.2.18) need not be satisfied. Such analysis will result a “distorted model” and there are no general rules for handling distorted models, rather each problem must be considered on its own merits.
