Weber number
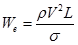
: It is defined as the ratio of the inertia force to surface tension force. Mathematically,
(6.2.5) |
where V is the velocity of the flow, L is the characteristics length descriptive of the flow field,
is the density of the fluid and
is the surface tension force. This number is taken as an index of droplet formation and flow of thin film liquids in which there is an interface between two fluids. The inertia force is dominant compared to surface tension force when,
(e.g. flow of water in a river).
Mach number
: It is the key parameter that characterizes the compressibility effects in a fluid flow and is defined as the ratio of inertia force to compressibility force. Mathematically,
![]() |
|
where V is the velocity of the flow, c is the local sonic speed,
is the density of the fluid and
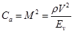
is the bulk modulus. Sometimes, the square of the Mach number is called “Cauchy number”
i.e.
(6.2.7) |
Both the numbers are predominantly used in problems in which fluid compressibility is important. When,
is relatively small (say, less than 0.3), the inertial forces induced by fluid motion are sufficiently small to cause significant change in fluid density. So, the compressibility of the fluid can be neglected. However, this number is most commonly used parameter in compressible fluid flow problems, particularly in the field of gas dynamics and aerodynamics.
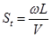
Strouhal number
: It is a dimensionless parameter that is likely to be important in unsteady, oscillating flow problems in which the frequency of oscillation is ω and is defined as,
(6.2.8) |
where V is the velocity of the flow and L is the characteristics length descriptive of the flow field. This number is the measure of the ratio of the inertial forces due to unsteadiness of the flow (local acceleration) to inertia forces due to changes in velocity from point to point in the flow field (convective acceleration). This type of unsteady flow develops when a fluid flows past a solid body placed in the moving stream.
