Non Dimensional numbers in Fluid Dynamics
Forces encountered in flowing fluids include those due to inertia, viscosity, pressure, gravity, surface tension and compressibility. These forces can be written as follows;
![]() |
(6.2.1) |
The notations used in Eq. (6.2.1) are given in subsequent paragraph of this section. It may be noted that the ratio of any two forces will be dimensionless. Since, inertia forces are very important in fluid mechanics problems, the ratio of the inertia force to each of the other forces listed above leads to fundamental dimensionless groups. Some of them are defined as given below;
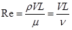
Reynolds number
: It is defined as the ratio of inertia force to viscous force. Mathematically,
(6.2.2) |
where V is the velocity of the flow, L is the characteristics length,
are the density, dynamic viscosity and kinematic viscosity of the fluid respectively. If
is very small, there is an indication that the viscous forces are dominant compared to inertia forces. Such types of flows are commonly referred to as “creeping/viscous flows”. Conversely, for large
, viscous forces are small compared to inertial effects and such flow problems are characterized as inviscid analysis. This number is also used to study the transition between the laminar and turbulent flow regimes.
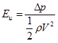
Euler number
: In most of the aerodynamic model testing, the pressure data are usually expressed mathematically as,
![]() |
|
where
is the difference in local pressure and free stream pressure, V is the velocity of the flow,
is the density of the fluid. The denominator in Eq. (6.2.3) is called “dynamic pressure”.
is the ratio of pressure force to inertia force and many a times the pressure coefficient
is a also common name which is defined by same manner. In the study of cavitations phenomena, similar expressions are used where,
is the difference in liquid stream pressure and liquid-vapour pressure. This dimensional parameter is then called as “cavitation number”.
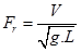
Froude number
: It is interpreted as the ratio of inertia force to gravity force. Mathematically, it is written as,
(6.2.4) |
where V is the velocity of the flow, L is the characteristics length descriptive of the flow field and g is the acceleration due to gravity. This number is very much significant for flows with free surface effects such as in case of open-channel flow. In such types of flows, the characteristics length is the depth of water.
less than unity indicates sub-critical flow and values greater than unity indicate super-critical flow. It is also used to study the flow of water around ships with resulting wave motion.

