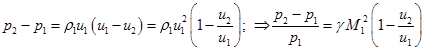
The pressure ratio can be obtained by the combination of momentum and continuity equations i.e.
![]() |
(4.4.12) |
Substituting the ratio
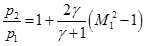
from Eq. (4.4.10) in Eq. (4.4.12) and simplifying for the pressure ratio across the normal shock, we get,
(4.4.13) |
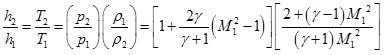
For a calorically perfect gas, equation of state relation (Eq. 4.4.3) can be used to obtain the temperature ratio across the normal shock i.e.
![]() |
(4.4.14) |
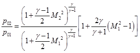
Thus, the upstream Mach number is the powerful tool to dictating the shock wave properties. The “stagnation properties” across the normal shock can be computed as follows;
![]() |
(4.4.15) |
Here, the ratios
can be obtained from the isentropic relation for the regions ‘1 and 2' respectively. Knowing the upstream Mach number
, Eq. (4.4.9) gives the downstream Mach number
. Further, Eq. (4.4.13) can be used to obtain the static pressure ratio
. After substitution of these ratios, Eq. (4.4.15) reduces to,
![]() |
(4.4.16) |
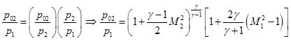
Many a times, another significant pressure ratio
is important for a normal shock which is normally called as Rayleigh Pitot Tube relation.
![]() |
(4.4.17) |
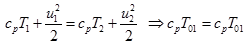
Recall the energy equation for a calorically perfect gas:
(4.4.18) |
Thus, the stagnation temperatures do not change across a normal shock.
Entropy across a normal shock
The compression through a shock wave is considered as irreversible process leading to an increase in entropy. The change in entropy can be written as a function of static pressure and static temperature ratios across the normal shock.
![]() |
(4.4.19) |
Mathematically, it can be seen that the entropy change across a normal shock is also a function of the upstream Mach number. The second law of thermodynamics puts the limit that ‘entropy' must increase
for a process to occur in a certain direction. Hence, the upstream Mach number
must be greater than 1 (i.e. supersonic). It leads to the fact that
.
The entropy change across a normal shock can also be calculated from another simple way by expressing the thermodynamic relation in terms of total pressure. Referring to Fig. 4.4.4, it is seen that the discontinuity occurs only in the thin region across the normal shock. If the fluid elements is brought to rest isentropically from its real state (for both upstream and downstream conditions), then they will reach an imaginary state ‘1a and 2a'. The expression for entropy change between the imaginary states can be written as,
![]() |
(4.4.20) |
Since,
, the Eq.(4.4.20) reduces to,
![]() |
(4.4.21) |
Because of the fact
, Eq. (4.4.21) implies that
. Hence, the stagnation pressure always decreases across a normal shock.







