Normal Shock Waves
A normal shock wave is one of the situations where the flow properties change drastically in one direction. The shock wave stands perpendicular to the flow as shown in Fig. 4.4.4. The quantitative analysis of the changes across a normal shock wave involves the determination of flow properties. All conditions of are known ahead of the shock and the unknown flow properties are to be determined after the shock. There is no heat added or taken away as the flow traverses across the normal shock. Hence, the flow across the shock wave is adiabatic
.

Fig. 4.4.4: Schematic diagram of a standing normal shock wave.
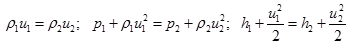
The basic one dimensional compressible flow equations can be written as below;
(4.4.2) |
For a calorically perfect gas, thermodynamic relations can be used,
(4.4.3) |
The continuity and momentum equations of Eq. (4.4.2) can be simplified to obtain,
(4.4.4) |
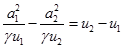
Since,
and
, the energy equation is written as,
(4.4.5) |
Both
can now be expressed as,
(4.4.6) |
Substitute Eqs. (4.4.6) in Eq. (4.4.4) and solve for ![]()
(4.4.7) |
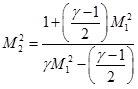
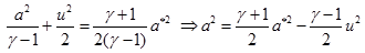
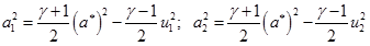
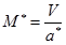
Recall the relation for
and substitute in Eq. (4.4.7),
![]() |
(4.4.8) |
Substitute Eq. (4.4.8) in Eq. (4.4.7) and solve for ![]()
![]() |
(4.4.9) |
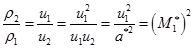
Using continuity equation and Prandtl relation, we can write,
(4.4.10) |
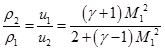
Substitute Eq. (4.4.8) in Eq. (4.4.10) and solve for density and velocity ratio across the normal shock.
![]() |
(4.4.11) |


