Fundamental Equations for Compressible Flow
Consider a compressible flow passing through a rectangular control volume as shown in Fig. 4.1.1. The flow is one-dimensional and the properties change as a function of x , from the region ‘1' to ‘2' and they are velocity
, pressure (p), temperature (T), density (ρ) and internal energy (e). The following assumptions are made to derive the fundamental equations;
- Flow is uniform over left and right side of control volume.
Both sides have equal area
, perpendicular to the flow.
Flow is inviscid, steady and nobody forces are present.
No heat and work interaction takes place to/from the control volume.
Let us apply mass, momentum and energy equations for the one dimensional flow as shown in Fig. 4.1.1.
Conservation of Mass :
(4.1.14) |
Conservation of Momentum :
(4.1.15) |
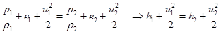
Steady Flow Energy Conservation :
(4.1.16) |
Here, the enthalpy
is defined as another thermodynamic property of the gas.

Fig. 4.1.1: Schematic representation of one-dimensional flow.