Therefore we can express Eq. (29.2) using Eq. (29.3) and (29.4) as,

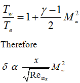
The boundary layer thickness is directly proportional to the local wall temperature. The wall temperature can be expressed in terms of Mach number under the assumption of adiabatic wall where the wall temperature is closely equal to the freestream total temperature. Hence

This results clearly depicts that the local boundary layer thickness is directly proportional to distance from leading of the flat plate, square of freestream Mach number and inversely proportional to the square root of freestream Reynold’s number based on distance from leading edge.