29.2 Hypersonic viscous interaction for flow over flat plate
Consider the laminar hypersonic flow over the flat plate. From the basics of the boundary layer theory we know that, thickness of the boundary layer (
) is directly proportional with the distance from the leading edge of the plate and inversely proportional with the square root of the Reynolds number.

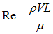
From the definition of Reynold’s number we have,
![]()
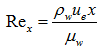
Based on wall thermodynamic properties and freestream velocity, the local Reynold’s number is,

Hence,
