| Remark
Finding the probability density function of the output process is a difficult task. However, if is a WSS Gaussian random process, then the output process
is also Gaussian with the probability density function determined by its mean and the autocorrelation function.
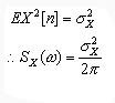
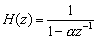
Example 1
Suppose and
is a zero-mean white-noise sequence with variance . Then

|