Discrete-time Linear Shift Invariant System                                                                                          Print this page
<< Previous |  First Last |  Next >>       

Figure 4

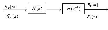
        In terms of the we get

which is illustrated in Figure 5 .

       Notice that if is causal, then is anti-causal and vice versa.

       Similarly if is minimum-phase then is maximum-phase.

Figure 5

<< Previous |  First Last |  Next >>