Thus
does not depend on
, but on lag
and we can write
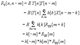
The autocorrelation function of the out put is

is a function of lag m only and we write

The mean-square value of the output process is

Thus if
is WSS then
is also WSS.
Taking the DTFT of
we get

This input-output relation in the frequency domain is illustrated in Figure 4.