Discrete-time Linear Shift Invariant System                                                                                          Print this page
<< Previous |  First Last |  Next >>       

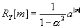
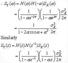
       By partial fraction expansion and inverse transform, we get

Remark

  • Though the input is an uncorrelated process in the above example, the output is a correlated process.
<< Previous |  First Last |  Next >>