|
Thus, the minimum mean-square error estimation involves conditional expectation . To find , we have to determine the a posteriori probability density and perform These operations are computationally exhaustive when we have to perform these operations numerically.
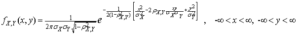
Example 1 Consider two zero-mean jointly Gaussian random variables with the joint pdf

The marginal density is a Gaussian random variable and given by
|