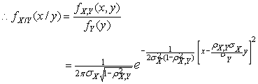
|
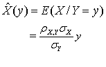
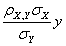
which is Gaussian with mean . Therefore, the MMSE estimator of given is given by

This example illustrates that in the case of jointly Gaussian random variables , the mean-square estimator of given is linearly related with . This important result gives us a clue to have a simpler version of the mean-square error estimation problem discussed in the next page. |