Vector space Interpretation of Random Variables                                                                        Print this page
<< Previous |  First |  Last |  Next >>       


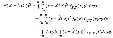
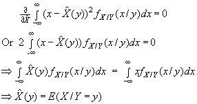
           Since is always positive, the minimization of with respect to is equivalent to minimizing the inside integral with respect to .The condition for the minimum is
                                                                 

<< Previous |  First |  Last |  Next >>