Multiple Random Variables                                                                                                             Print this page
<< Previous |  First |  Last |  Next >>       

        4.The marginal CDF of a random variable is related to by the (n-1) - fold integral



    where the integral is performed over all the arguments except .
    Similarly,

    and so on.

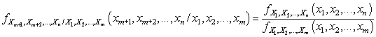
    The conditional probability functions are defined in a similar manner. Thus

<< Previous |  First |  Last |  Next >>