Multiple Random Variables                                                                                                             Print this page
<< Previous |  First |  Last |  Next >>       


   Independent random variables

           The random variables are called (mutually) independent if and only if

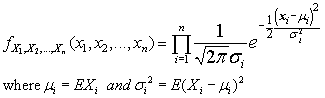
           For example, if are independent Gaussian random variables, then

    Remark

may be pair wise independent, but may not be mutually independent.

<< Previous |  First |  Last |  Next >>