Multiple Random Variables                                                                                                             Print this page
<< Previous |  First |  Last |  Next >>       


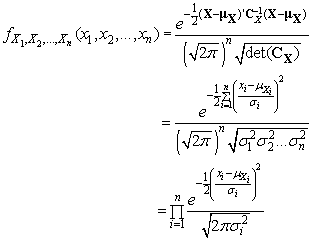
           and             

           Therefore,

           Thus are independent also.                    

<< Previous |  First |  Last |  Next >>