Transformation of two random variables:                                                                                    Print this page
<< Previous |  First |  Last |  Next >>       

                 
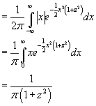
  which is the Cauchy probability density function.

  Probability density function of

  Here

                 (changing from Cartesian into polar coordinates)

<< Previous |  First |  Last |  Next >>