Transformation of two random variables:                                                                                    Print this page
<< Previous |  First |  Last |  Next >>       


          
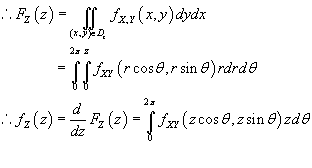
  Example 4 Rayleigh random variable

    Suppose X and Y are two independent Gaussian random variables each with mean 0 and variance and .Then

 

<< Previous |  First |  Last |  Next >>