Transformation of two random variables:                                                                                    Print this page
<< Previous |  First |  Last |  Next >>       


         
  Example 3

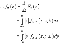
   Suppose X and Y are independent zero mean Gaussian random variable with unity standard deviation and . Then
        


<< Previous |  First |  Last |  Next >>