Transformation of two random variables:                                                                                    Print this page
<< Previous |  First |  Last |  Next >>       


         

        

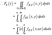
  If X and Y are independent random variables, then

 

<< Previous |  First |  Last |  Next >>